Folie 1
Folie 2
Folie 3
Folie 4
Folie 5
Folie 6
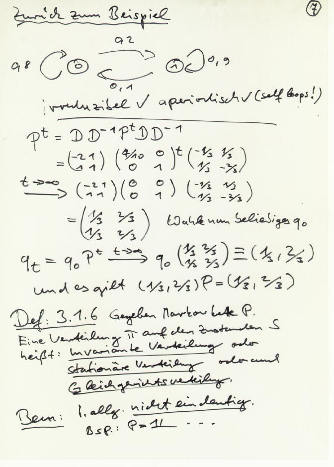
Folie 7 Bem.: Die invariante Verteilung $\pi$ in Def. 3.1.6 mu"s nat"urlich $\pi=\pi P$ erf"ullen.
Folie 8
Folie 9
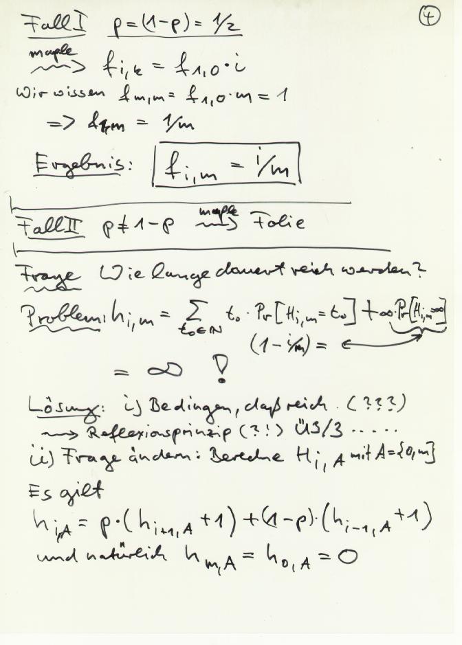
Download and play: Maple-Script zum Gamblers Ruin Prolbem.